14. Study on Optoelectronic Polymers: An Overview and Outlook
Fei Huang, Zhi-shan Bo, Yan-hou Geng, Xian-hong Wang, Li-xiang Wang, Yu-guang Ma, Jian-hui Hou, Wen-ping Hu, Jian Pei, Huan-li Dong, Shu Wang, Zhen Li, Zhi-gang Shuai, Yong-fang Li, Yong Cao, Acta Polymerica Sinica (高分子学报), 2019, 50, 988-1046.

13. Achieving high-performance non-halogenated nonfullerene acceptor-based organic solar cells with 13.7% efficiency via a synergistic strategy of an indacenodithieno[3,2-b]selenophene core unit and non-halogenated thiophene-based terminal group
Kai-Kai Liu, Xiaopeng Xu, Jin-Liang Wang*, Chao Zhang, Gao-Yang Ge, Fang-Dong Zhuang, Han-Jian Zhang, Can Yang, Qiang Peng*, Jian Pei, Journal of Materials Chemistry A, 2019, 7, 24389-24399. DOI:10.1039/C9TA08328F.

12.Unveiling how intramolecular stacking modes of covalently linked dimers dictate photoswitching properties
Ru-Qiang Lu, Xiao-Yun Yan, Lei Zhu, Lin-Lin Yang, Hang Qu, Xin-Chang Wang, Ming Luo, Yu Wang, Rui Chen, Xiao-Ye Wang,* Yu Lan,* Jian Pei, Wengui Weng, Haiping Xia, Xiao-Yu Cao*, Nature Communications, 2019, 10, 5480. DOI:10.1038/s41467-019-13428-3.

11.Recent Efforts in Understanding and Improving the Nonideal Behaviors of Organic Field‐Effect Transistors
Hio‐Ieng Un, Jie-Yu Wang, Jian Pei* Advanced Science, 2019, DOI:10.1002/advs.201900375.

10.Strategies to Enhance the Conductivity of n-Type Polymer Thermoelectric Materials
Yang Lu, Jie-Yu Wang, Jian Pei* Chemistry of Materials, 2019, 31, 6412-6423.

9.Rigid Coplanar Polymers for Stable n‐Type Polymer Thermoelectrics
Yang Lu, Zi-Di Yu, Run-Zhi Zhang, Ze-Fan Yao, Hao-Yang You, Li Jiang, Hio-Ieng Un, Bo-Wei Dong, Miao Xiong, Jie-Yu Wang, Jian Pei* Angewandte Chemie International Edition, 2019, 58, 11390-11394.
Highlighted by Chemistryviews

8.BN-Embedded Tetrabenzopentacene: A Pentacene Derivative with Remarkable Ambient Stability
Fang-Dong Zhuang, Ze-Hao Sun, Ze-Fan Yao, Qi-Ran Chen, Zhen Huang, Jing-Hui Yang, Jie-Yu Wang,* Jian Pei* Angewandte Chemie International Edition, 2019, 58, 10708-10712.

7.Understanding the Effects of Molecular Dopant on n-Type Organic Thermoelectric Properties
Hio-Ieng Un, Shawn A. Gregory, Swagat K. Mohapatra, Miao Xiong, Elena Longhi, Yang Lu, Sergei Rigin, Samik Jhulki, Chi-Yuan Yang, Tatiana V. Timofeeva, Jie-Yu Wang, Shannon K. Yee,* Stephen Barlow,* Seth R. Marder,* Jian Pei* Advanced Energy Materials, 2019, 9, 1900817.

6.Organic Semiconducting Alloys with Tunable Energy Levels
Jin-Hu Dou, Zhi-Ao Yu, Jun Zhang, Yu-Qing Zheng, Ze-Fan Yao, Zeyi Tu, Xinchang Wang, Shiliang Huang, Chengwen Liu, Junliang Sun, Yuanping Yi, Xiaoyu Cao, Yiqin Gao, Jie-Yu Wang, Jian Pei* Journal of the American Chemical Society, 2019, 141, 6561-6568.

5.Wafer‐Scale Fabrication of High‐Performance n‐Type Polymer Monolayer Transistors Using a Multi‐Level Self‐Assembly Strategy
Ze‐Fan Yao, Yu‐Qing Zheng, Qi‐Yi Li, Ting Lei,* Song Zhang, Lin Zou, Han‐Yu Liu, Jin‐Hu Dou, Yang Lu, Jie‐Yu Wang, Xiaodan Gu, Jian Pei* Advanced Materials, 2019, 31, 1806747.

4.Dinaphthobenzo[1,2:4,5]dicyclobutadiene with Strong Antiaromaticity and Orthogonally Tunable Electronics and Packing
Zexin Jin, Ze-Fan Yao, Kayla P. Barker, Jian Pei,* Yan Xia* Angewandte Chemie International Edition, 2019, 58, 2034-2039.

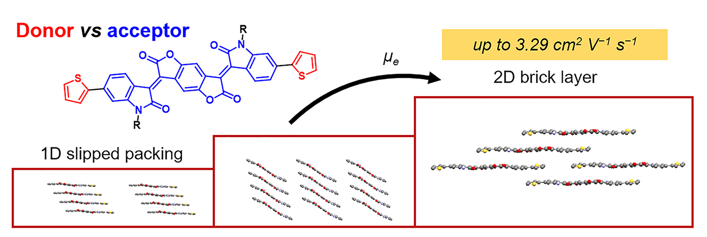
3. Improved Transistor Performance by Modulating Molecular Packing with Donor and Acceptor Moieties
Ze-Fan Yao, Han-Yu Liu, Zi-Yuan Wang, Ze-Kun Zhou, Jie-Yu Wang, Jian Pei* Chemistry—An Asian Journal, 2019, 14, 1686.

2. Embedding pyridine units in acceptors to construct donor-acceptor conjugated polymers
Zi-Yuan Wang, Jie-Yu Wang,* Jian Pei Chinese Chemical Letters, 2019, 30, 25.

1. Multi-Level Self-assembly of Conjugated Polymers
Qi-Yi Li, Ting Lei,* Ze-Fan Yao, Jie-Yu Wang, Jian Pei* Acta Polymerica Sinica (高分子学报), 2019, 50, 1.
