| 现为无机固体材料化学研究组负责人、中国晶体学会秘书长/副理事长/党委副书记, 已发表SCI学术论文100余篇,包括国际一流期刊 Nature、Science、Nature Mater.、Nature Nanotech.、J. Am. Chem. Soc.、Angew. Chem. 等,2017年获中国分子筛青年奖,2018年获中国石化前瞻性基础性研究科学奖一等奖(6/6)。研究方向主要包括: |
| 无机微孔材料的合成和应用(分子筛,含硼/锗骨架结构等); |
| 结构解析方法的发展(单晶,粉末和透射电子显微镜); |
| 致密固相化合物(多铁材料,非公度材料,合金). |
| Principal Investigator of Inorganic Solid State Materials Chemistry Research group, General-Secretary of Chinese Crystallographic Society, Vice President of Chinese Crystallographic Society. Authored more than 100 publications, including Nature, Science, Nature Mater., Nature Nanotech, Nature Chem., J. Am. Chem. Soc., Angew. Chem. etc. Rechieved Science Fund for Distinguished Young Scholars,Young scientist award of CZC, Foresight fundamental research award of Sinopec etc. Main research interests include: |
| 1. Synthesis and application of porous materials; |
| 2. Method development of structure characterization; |
| 3. Synthesis and application of inorganic dense materials. |
| 代表学术著作 (Selected Publications) |
| 61. Ying Yin#, Ya Zhang#, Xu Zhou#, Bo Gui, Wenqi Wang, Wentao Jiang, Yue-Biao Zhang, Junliang Sun*, Cheng Wang* Ultrahigh-surface-area covalent organic frameworks for methane adsorption Science 2024, 386, 693-696
|
![]() |
| 60. Zhipeng Zhou, Guohong Cai, Zeyue Zhang, Guobao Li, Dongyang Lou, Shangqing Qu, Yuyao Li, Meiying Huang, Wei Liu, Zhikun Zheng, Junliang Sun* Conformational Chirality of Single-Crystal Covalent Organic Frameworks J. Am. Chem. Soc. 2024, doi.org/10.1021/jacs.4c13394
|
![]() |
| 59. Junjie Xin#, Xianji Qiao#, Yi Qiu, Jiangnan Li, Sihai Yang, Guobao Li*, Junliang Sun* Locating gas molecules in MOFs by cryo-3D electron diffraction Sci. Bull. 2024, 69, 3496-3500
|
![]() |
| 58. Yang Xie#, Wenjing Wang#, Zeyue Zhang, Jian Li, Bo Gui, Junliang Sun*, Daqiang Yuan*, Cheng Wang* Fine-tuning the pore environment of ultramicroporous three-dimensional covalent organic frameworks for efficient one-step ethylene purification Nat. Commun. 2024,15,3008
|
![]() |
| 57. Xianji Qiao, Guohong Cai, Peter C. Müller, Liguang Wang, Guanqun Cai, Tiefeng Liu, Shangqing Qu, Yufeng Yin, Guobao Li, Alex J. Corkett*, Richard Dronskowski*, Jun Lu*, Junliang Sun* Novel Mn[N(CN)2]2 Anode with Cationic and Anionic Redox Chemistry for Li-Ion Batteries Adv. Funct. Mater. 2024, 34, 2407729
|
![]() |
| 56. Zi’ang Guo, Zeyue Zhang, and Junliang Sun* Topological Analysis and Structural Determination of 3D Covalent Organic Frameworks Adv. Mater. 2024, 36, 2312889
|
![]() |
| 55. Ligang Wang, Hui Su, Guoying Tan, Junjie Xin, Xiaoge Wang, Zhuang Zhang, Yaping Li, Yi Qiu, Xiaohui Li, Haisheng Li, Jing Ju, Xinxuan Duan, Hai Xiao, Wenxing Chen, Qinghua Liu*, Xiaoming Sun*, Dingsheng Wang and Junliang Sun* Boosting Efficient and Sustainable Alkaline Water Oxidation on W-CoOOH-TT Pair Sites Catalyst Synthesized via Topochemical Transformation Adv. Mater. 2024,36 2302642.
|
![]() |
| 54. Wenjia Sun,# Pohua Chen,# Mingxuan Zhang, Jian-Xin Ma, and Junliang Sun* Locating Hydrogen Positions for COF-300 by Cryo-3D Electron Diffraction Angew. Chem. 2023, e202305985 DOI: 10.1002/anie.202305985
|
![]() |
| 53. Zhipeng Zhou, Lei Zhang, Yonghang Yang, Iñigo J. Vitorica-Yrezabal, Honglei Wang, Fanglin Tan, Li Gong, Yuyao Li,Pohua Chen, Xin Dong, Zihao Liang, Jing Yang, Chao Wang,Yuexian Hong, Yi Qiu, Armin Gölzhäuser, Xudong Chen, Haoyuan Qi,Sihai Yang, Wei Liu*, Junliang Sun*, Zhikun Zheng* Growth of single-crystal imine-linked covalent organic frameworks using amphiphilic amino-acid derivatives in water Nature Chem. 2023, 15, 841
|
![]() |
| 52. Bo Gui, Junjie Xin, Yuanpeng Cheng, Yufei Zhang, Guiqing Lin, Pohua Chen, Jian-Xin Ma, Xu Zhou, Junliang Sun*, Cheng Wang* Crystallization of Dimensional Isomers in Covalent Organic Frameworks, J. Am. Chem. Soc. 2023, 145, 11276
|
![]() |
| 51. Natraj A.#, Ji W.#, Xin J.#, Castano I., Burke D.W., Evans A.M., Strauss M.J., Ateia M., Hamachi L.S., Gianneschi N.C., Alothman Z.A., Sun Junliang*, Yusuf K.*, Dichtel W.R.* Single-Crystalline Imine-Linked Two-Dimensional Covalent Organic Frameworks Separate Benzene and Cyclohexane Efficiently J. Am. Chem. Soc. 2022, 144, 43, 19813
|
![]() |
| 50. Jian Li, Cong Lin, Tianqiong Ma, Junliang Sun* Atomic-resolution structures from polycrystalline covalent organic frameworks with enhanced cryo-cRED Nat. Commun. 2022, 13, 4016. DOI 10.1038/s41467-022-31524-9
|
![]() |
| 49. Haisheng Li#, Kui Xu#, Pohua Chen, Youyou Yuan, Yi Qiu, Ligang Wang, Liu Zhu, Xiaoge Wang, Guohong Cai, Liming Zheng, Chun Dai, Deng Zhou, Nian Zhang, Jixin Zhu, Jinglin Xie, Fuhui Liao, Hailin Peng, Yong Peng, Jing Ju, Zifeng Lin, Junliang Sun* Achieving ultrahigh electrochemical performance by surface design and nanoconfined water manipulation National Science Review, 2022,9, nwac079. DOI:10.1093/nsr/nwac079 |
![]() |
| 48. Yaozu Liu #, Pohua Chen #, Yujie Wang *, Jinquan Suo, Jiehua Ding, Liangkui Zhu, Valentin Valtchev, Yushan Yan, Shilun Qiu, Junliang Sun*, Qianrong Fang* Design and Synthesis of a Zeolitic Organic Framework Angew. Chem. Int. Ed. 2022, 61, e202203584. |
![]() |
| 47. Yihan Shen#, Wenjia Sun#, Yang Liu, Zhengyang Zhou*, Junliang Sun*Accurate structure determination of nanocrystals by continuous precession electron diffraction tomography Science China Materials, 2022,65, 1417 |
![]() |
| 46. Yihan Shen#, Yibin Jiang#, Jianhua Lin, Cheng Wang,Junliang Sun* A general method for searching for homometric structures Acta. Cryst. 2022, B78, 14 |
![]() |
| 45. Jianyuan Li#, Cong Lin#,*, Mouyi Weng, Yi Qiu, Pohua Chen, Kai Yang, Weiyuan Huang, Yuexian Hong, Jian Li, Mingjian Zhang, Cheng Dong, Wenguang Zhao, Zhi Xu, Xi Wang, Kang Xu*, Junliang Sun*, Feng Pan*, Structural origin of the high-voltage instability of lithium cobalt oxide, Nature Nanotech., 2021, 16, 599 |
![]() |
| 44.Xiaoling Liu#, Jian Li#, Bo Gui, Guiqing Lin, Qiang Fu, Sheng Yin, Xuefen Liu, Junliang Sun,* and Cheng Wang*A Crystalline Three-Dimensional Covalent Organic Framework with Flexible Building Blocks J. Am. Chem. Soc. 2021, 143, 2123-2129 |
![]() |
| 43. Jin-Hu Dou, Maxx Q. Arguilla, Yi Luo, Jian Li, Weizhe Zhang, Lei Sun, Jenna L. Mancuso, Luming Yang, Tianyang Chen, Lucas R. Parent, Grigorii Skorupskii, Nicole J. Libretto, Chenyue Sun, Min Chieh Yang, Phat Vinh Dip, Edward J. Brignole, Jeffrey T. Miller, Jing Kong, Christopher H. Hendon, Junliang Sun,* and Mircea Dinca* Atomically-Precise Single Crystal Structures of Electrically Conducting 2D MOFs Nature Mater. 2021, 20, 222. DOI: 10.1038/s41563-020-00847-7 |
![]() |
| 42. Tianqiong Ma, Lei Wei, Lin Liang, Shawn Yin, Le Xu, Jing Niu, Huadong Xue, Xiaoge Wang, Junliang Sun*, Yue-Biao Zhang* & Wei Wang* Diverse crystal size effects in covalent organic Frameworks Nat. Commun. 2020, 11, 6128. |
![]() |
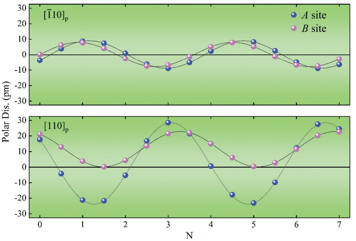
| 41. Jiangnan Li, Zhengyang Zhou, Xue Han, Xinran Zhang, Yong Yan, Weiyao Li, Gemma L. Smith, Yongqiang Cheng, Laura J. McCormick McPherson, Simon J. Teat, Mark D. Frogley, Svemir Rudić, Anibal J. Ramirez-Cuesta, Alexander J. Blake, Junliang Sun*, Martin Schröder*, Sihai Yang* Guest-Controlled Incommensurate Modulation in a Meta-Rigid Metal-Organic Framework Material J. Am. Chem. Soc., 2020, 142, 19189 DOI: 10.1021/jacs.0c08794 |
![]() |
| 40. Jian Li#, Fengjuan Pan#, Shipeng Geng#, Cong Lin#, Lukas Palatinus, Mathiew Allix, Xiaojun Kuang*, Jianhua Lin,Junliang Sun* Modulated structure determination and ion transport mechanism of oxide-ion conductor CeNbO4+δ Nature Comm. 2020, 11, 4751. |
![]() |
| 39. Chao Gao, Jian Li, Sheng Yin, Junliang Sun*, and Cheng Wang* Redox-triggered Switching in Three-Dimensional Covalent Organic Frameworks Nat. Commun. 2020,11, 4919 |
![]() |
| 38. Xing Huang#,Yi Qiu# ,Yishan Wang, Liyao Liu, Xiaoyu Wu,Yingying Liang,Yutao Cui, Yimeng Sun, Ye Zou, Jia Zhu,* Weihai Fang, Junliang Sun,* WeiXu,*, Daoben Zhu* Highly Conducting Organic–Inorganic Hybrid Copper Sulfides CuxC6S6 (x = 4 or 5.5): Ligand-Based Oxidation-Induced Chemical and Electronic Structure Modulation Angew.Chem.Int. Ed. 2020, 59,22602 |
![]() |
| 37. Le Xu, Yong Wang, Yihan Shen, Tianqiong Ma, Lu Han*, Watcharop Chaittisilp, Toshiyuki Yokoi, Junliang Sun*, Toru Wakihara, and Tatsuya Okubo* Rational Manipulation of Stacking Arrangements in Three-Dimensional Zeolites Built from Two-Dimensional Zeolitic Nanosheets Angew. Chem. Int. Ed. 2020, 59, 19934 |
![]() |
| 36. Luis A. Villaescusa#,* Jian Li#, Zihao Gao,Junliang Sun*, and Miguel A. Camblor* IDM-1: A Zeolite with Intersecting Medium and Extra-Large Pores Built as an Expansion of Zeolite MFI Angew. Chem. Int. Ed. 2020, 59, 11283 |
![]() |
| 35. Hui Liu,# Zhengyang Zhou,# Yi Qiu#, Botao Gao, Shengdong Sun, Kun Lin, Lei Ding, Qiang Li, Yili Cao, Yang Ren, Junliang Sun*, Xianran Xing and Jun Chen* An intriguing intermediate state as a bridge between antiferroelectric and ferroelectric perovskites Mater. Horiz., 2020, 7, 1912 |
![]() |
| 34. Rui-An Li#, Zhengyang Zhou#, Yu-Kun Lian, Fei Jia, Xingxing Jiang, Ming-Cong Tang, LiMing Wu,* Junliang Sun*, and Ling Chen* A2SnS5: A Structural Incommensurate Modulation Exhibiting Strong Second-Harmonic Generation and a High Laser-Induced Damage Threshold (A=Ba, Sr) Angew. Chem. Int. Ed. 2020, 59, 11861 |
![]() |
| 33. Lin Liang#, Yi Qiu#, Wei David Wang, Jing Han, Yi Luo, Wei Yu, Guan-Lin Yin, Zhi-Peng Wang, Lei Zhang, Jianwei Ni, Jing Niu, Junliang Sun*, Tianqiong Ma,* Wei Wang* Non-Interpenetrated Single-Crystal Covalent Organic Frameworks Angew. Chem. Int. Ed. 2020, 59, 2 |
![]() |
| 32. Hai-Sen Xu#, Yi Luo#, Pei Zhen See, Xing Li, Zhongxian Chen, Yi Zhou, Xiaoxu Zhao, Kai Leng, In-Hyeok Park, Runlai Li, Cuibo Liu, Fangzheng Chen, Shibo Xi, JunliangSun*, Kian Ping Loh* Divergent Chemistry Paths for 3D and 1D Metallo-Covalent Organic Frameworks (COFs) Angew. Chem. Int. Ed. 2020, 59, 11527 |
![]() |
| 31. Hai-Sen Xu, Yi Luo, Xing Li, Pei Zhen See, Zhongxin Chen, Tianqiong Ma, Lin Liang, Kai Leng, Ibrahim Abdelwahab, Lin Wang, Runlai Li, Xiangyan Shi, Yi Zhou, Xiu Fang Lu, Xiaoxu Zhao, Cuibo Liu, Junliang Sun*, Kian Ping Loh* Single Crystal of a One-dimensional Covalent Organic Framework Nature Commun. 2020,11,1434 |
![]() |
| 30. Chao Gao#, Jian Li#, Sheng Yin, Junliang Sun*, Cheng Wang* Twist Building Blocks from Planar to Tetrahedral for the Synthesis of Covalent Organic Frameworks J. Am. Chem. Soc. 2020, 142, 8, 3718-3723 |
![]() |
| 29. Yi Meng#, Yi Luo#, Ji-Long Shi, Huimin Ding, Xianjun Lang, Wei Chen, Anmin Zheng, Junliang Sun* and Cheng Wang* 2D and 3D Porphyrinic Covalent Organic Frameworks: The Influence of Dimensionality on Functionality Angew. Chem. Int. Ed. 2020, DOI: 10.1002/anie.201913091 |
![]() |
| 28. Xue Liu#, Yi Luo#, Wenting Mao, Jingang Jiang, Hao Xu*, Lu Han*, Junliang Sun* and Peng Wu* 3D electron diffraction unravels the new zeolite ECNU-23 from the “pure” powder sample of ECNU-21 Angew. Chem. Int. Ed. 2020, 59, 1166-1170. |
![]() |
| 27. Ligang Wang#, Xinxuan Duan#, Xijun Liu, Jing Gu, Rui Si, Yi Qiu, Yaming Qiu, Dier Shi, Fanhong Chen, Xiaoming Sun*, Jianhua Lin, Junliang Sun* Atomically Dispersed Mo Supported on Metallic Co9S8 Nanoflakes as an Advanced Noble-Metal-Free Bifunctional Water Splitting Catalyst Working in Universal pH Conditions Adv. Energy Mater. 2020, 1903137. |
![]() |
| 26. Rong-Ran Liang#, Shun-Qi Xu#, Lei Zhang#, Ru-Han A, Fu-Zhi Cui, Qiao-Yan Qi, Junliang Sun* & Xin Zhao* Rational design of crystalline two-dimensional frameworks with highly complicated topological structures Nature Comm. 2019, 10 4609. |
![]() |
| 25. Chuanfu Wang*, Lei Zhang, Xin Huang, Yufei Zhu, Gang(Kevin) Li, Qinfen Gu, Jingyun Chen, Linge Ma, Xiujie Li, Qihua He, Junbo Xu, Qi Sun, Chuqiao Song, Mi Peng, Junliang Sun* and Ding Ma* Maximizing sinusoidal channels of HZSM-5 for high shape-selectivity to p-xylene Nature Comm. 2019, 10,4348. |
![]() |
| 24. Hongliang Chen#, Mingliang Li#, Zheyu Lu#, Xiaoge Wang#, Junsheng Yang, Zhe Wang, Fei Zhang, Chunhui Gu, Weining Zhang, Yujie Sun, Junliang Sun*, Wenguang Zhu*, Xuefeng Guo* Multistep nucleation and growth mechanisms of organic crystals from amorphous solid states Nature Comm. 2019, 10, 3872. |
![]() |
| 23. Chao Gao#, Jian Li#, Sheng Yin, Guiqing Lin, Tianqiong Ma, Yi Meng, Junliang Sun* and Cheng Wang* Designed Synthesis of Isostructural 3D Covalent Organic Framework: Toward Modification of Pore Environment Angew Chem. Int. Ed. 2019, 58, 9770-9775. |
![]() |
| 22. Xiaoge Wang#, Yihan Shen#, Rongli Liu, Xiaolong Liu, Cong Lin, Dier Shi, Yanping Chen, Fuhui Liao, Jianhua Lin, Junliang Sun* Elucidation of correlated disorder in zeolite IM-18 Acta Cryst., 2019, B75, 333-342. |
![]() |
| 21. Jian Li, Cong Lin, Yuxin Min, Youyou Yuan, Guobao Li, Sihai Yang, Pascal Manuel, Jianhua Lin, Junliang Sun* Discovery of complex metal oxide materials by rapid phase identification and structure determination J. Am. Chem. Soc. 2019 DOI:10.1021/jacs.9b00093 |
![]() |
| 20. Mirding Mutailipu, Min Zhang, Hongping Wu, Zhihua Yang, Yihan Shen, Junliang Sun*, Shilie Pan* Ba3Mg3(BO3)3F3 polymorphs with reversible phase transition and high performances as ultraviolet nonlinear optical materials Nature Comm. 2018, 9, 3089. | ![]() |
| 19. Huimin Ding#, Jian Li#, Guohua Xie, Guiqing Lin, Rufan Chen, Zhengkang Peng, Chuluo Yang, Baoshan Wang, Junliang Sun*, and Cheng Wang* An AIEgen-Based 3D Covalent Organic Framework for White Light-Emitting Diodes Nature Comm. 2018, 9, 5234. | ![]() |
| 18. Xing Huang, Haisheng Li, Zeyi Tu, Liyao Liu, Xiaoyu Wu, Jie Chen, Yingying Liang, Ye Zou, Yuanping Yi, Junliang Sun*, Wei Xu,* and Daoben Zhu* Highly Conducting Neutral Coordination Polymer with Infinite Two-Dimensional Silver−Sulfur Networks J. Am. Chem. Soc. 2018, 140, 15153-15156. | ![]() |
| 17. Tianqiong Ma#, Eugene A. Kapustin#, Shawn X. Yin, Lin Liang, Zhengyang Zhou, Jing Niu, Li-Hua Li, Yingying Wang, Gaifen He, Jie Su, Jian Li, Xiaoge Wang, Wei David Wang, Wei Wang*, Junliang Sun*, Omar M. Yaghi* Single-crystal X-ray diffraction structures of covalent organic frameworks Science 2018, 361, 48. | ![]() |
| 16. Tianqiong Ma, Jian Li, Jing Niu, Lei Zhang, Ahmed S. Etman, Cong Lin, Dier Shi, Pohua Chen, Li-hua Li, Xin Du, Junliang Sun,* and Wei Wang* Observation of Interpenetration Isomerism in Covalent Organic Frameworks, J. Am. Chem. Soc. 2018, 140, 6763-6. | ![]() |
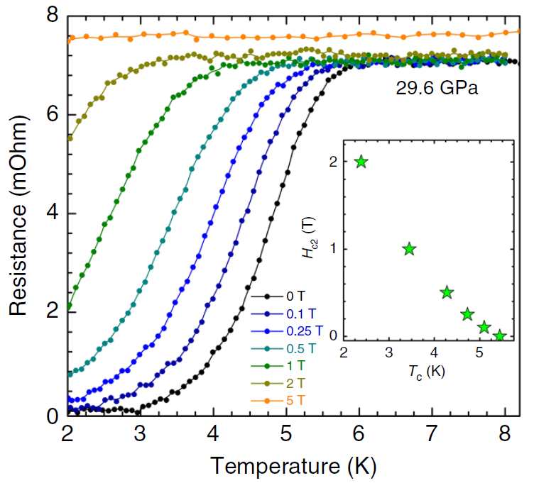
| 15. Yonggang Wang#, Jianjun Ying#, Zhengyang Zhou#, Junliang Sun#, Ting Wen, Yannan Zhou, Nana Li, Qian Zhang, Fei Han, Yuming Xiao, Paul Chow, Wenge Yang, Viktor V. Struzhkin, Yusheng Zhao*, Ho-kwang Mao* Emergent superconductivity in an iron-based honeycomb lattice initiated by pressure-driven spin-crossover Nature Communications 2018, 9(1) DOI: 10.1038/s41467-018-04326-1 | ![]() |
| 14. Zhengyang Zhou, Yi Qiu, Fei Liang, Lukáš Palatinus, Morgane Poupon, Tao Yang, Rihong Cong, Zheshuai Lin,* Junliang Sun* CsSiB3O7: A Beryllium-Free Deep-Ultraviolet Nonlinear Optical Material Discovered by the Combination of Electron Diffraction and First-Principles Calculations Chem. Mater. 2018, 30, 2203-2207. | ![]() |
| 13. Zhihua Sun#, Jian Li#, Chengmin Ji, Junliang Sun,* Maochun Hong, and Junhua Luo* Unusual Long-Range Ordering Incommensurate Structural Modulations in an Organic Molecular Ferroelectric J. Am. Chem. Soc. 2017, 139, 15900−15906 | ![]() |
| 12. Jian Li Junliang Sun* Application of X-ray diffraction and electron crystallography for solving complex structure problems Acc. Chem. Res. 2017, 50, 2737-2745. | ![]() |
| 11. Jian Li, Xiaotao Yuan, Cong Lin, Yanquan Yang, Le Xu, Xin Du, Jinglin Xie, Jianhua Lin,* Junliang Sun* Achieving high pseudocapacitance of Two-Dimensional Titanium Carbide (MXene) by cation intercalation and surface modification Adv. Energy Mater. 2017, 1602725. | ![]() |
| 10. Lingyun Cao, Zekai Lin, Fei Peng, Weiwei Wang, Ruiyun Huang, Cheng Wang*, Jiawei Yan,Jie Liang, Zhiming Zhang, Teng Zhang, Lasheng Long, Junliang Sun*, and Wenbin Lin* “Self-Supporting Metal–Organic Layers as Single-Site Solid Catalysts” Angew. Chem. Int. Ed. 2016, 55, 4962-4966. | ![]() |
| 9. Jie Liang, Wei Xia, Junliang Sun,* Jie Su, Maofeng Dou, Ruqiang Zou, Fuhui Liao, Yingxia Wang* and Jianhua Lin “A multi-dimensional quasi-zeolite with 12×10×7-ring channels demonstrates high thermal stability and good gas-adsorption selectivity” Chem. Sci. 2016, 7, 3025-3030. | ![]() |
| 8. Le Xu, Junliang Sun* Recent Advances in the Synthesis and Application of Two-Dimensional Zeolites Adv. Energy Mater. 2016, 6, 1600441 | ![]() |
| 7. Kun Lin, Zhengyang Zhou, Laijun Liu, Hongqiang Ma, Jun Chen, Jinxia Deng, Junliang Sun*, Li You, Hidetaka Kasai, Kenichi Kato, Masaki Takata, Xianran Xin* “Unusual Strong Incommensurate Modulation in a Tungsten-Bronze-Type Relaxor PbBiNb5O15” J. Am. Chem. Soc. 2015, 137, 13468. | ![]() |
| 6. Hong Chen, Jing Ju, Qingpeng Meng, Jie Su, Cong Lin, Zhengyang Zhou, Guobao Li, Weilu Wang, Wenliang Gao, Chunmei Zeng, Chiu Tang , Jianhua Lin*, Tao Yang*, Junliang Sun* "PKU-3: An HCl-Inclusive Aluminoborate for Strecker Reaction Solved by Combining RED and PXRD" J. Am. Chem. Soc. 2015, 137, 7047-7050. | ![]() |
| 5. Jie Liang, Jie Su, Xiaodan Luo, Yingxia Wang*, Haoquan Zheng, Hong Chen, Xiaodong Zou, Jianhua Lin* and Junliang Sun* "A Crystalline Mesoporous Germanate with 48-ring Channels for CO2 Separation" Angew. Chem. Int. Ed. 2015, 127, 7398-7402. | ![]() |
| 4. Hong Chen, Zhengbao Yu, Zoltán Bacsik, Huishuang Zhao, Qingxia Yao and Junliang Sun* “Construction of mesoporous frameworks with vanadoborate clusters” Angew. Chem. Int. Ed. 2014, 126, 3682-3685 | ![]() |
| 3. Wei Hua, Hong Chen, Zheng-Bao Yu, Xiaodong Zou, Jianhua Lin*, Junliang Sun* “A Germanosilicate with 11×11×12-ring Channels Solved by Electron Crystallography” Angew. Chem. Int. Ed. 2014, 53 5868-5871. | ![]() |
| 2. Wei Wan*, Junliang Sun*, Jie Su, Sven Hovmöller, Xiaodong Zou* "Three-dimensional rotation electron diffraction: software RED for automated data collection and data processing" J. Appl. Cryst. 2013, 46, 1863-1873. | ![]() |
| 1. Junliang Sun, Charlotte Bonneau, Ángel Cantín, Avelino Corma*, María J. Díaz-Cabañas, Manuel Moliner, Daliang Zhang, Mingrun Li & Xiaodong Zou* “The ITQ-37 mesoporous chiral zeolite” Nature 2009, 458, 1154-1157. | ![]() |






























































