近日,北京大学化学与分子工程学院刘剑课题组在 The Journal of Physical Chemistry Letters 上发表邀请论文,题为“Geometric Phase Effect in Thermodynamic Properties and in the Imaginary-Time Multi-Electronic-State Path Integral Formulation”。该工作系统研究了锥形交叉所诱导的几何相位(geometric phase, GP)对低温热力学性质的影响,并阐明了虚时间多电子态路径积分(multi-electronic-state path integral, MES-PI)如何自然捕捉这一拓扑效应。
背景介绍
春暖花开时节,当你在公园散步,绕着小山走一圈并不会发生什么明显变化,你依旧稳稳站在地面,身上衣服也还是原来的颜色。这在经典世界里,本就是再平常不过的事。
可当量子世界里的原子核,也试着绕着一座锥形交叉的 “能量小山” 走上一圈时,它却惊恐地发现:自己身披的那件电子 “衣裳”,相位竟与出发时恰好相反。它慌慌张张再绕一圈,奇怪的是,电子相位又重新变了回来。
(漫画图片来自本文作者,绘制过程中使用了“豆包”人工智能助手。)
研究内容
几何相位是分子体系非绝热问题中的重要拓扑效应之一。当体系的核坐标沿闭合回路绕过锥形交叉(conical intersection, CI)时,电子态的拓扑结构会在总波函数中留下额外的相位信息。长期以来,几何相位主要与振电能级、量子干涉、散射截面和光化学动力学等问题联系在一起;相比之下,其对热力学性质,尤其是低温热平衡统计量的影响,还缺少系统而严格的理论研究。
在量子统计热力学研究中,虚时间路径积分方法是处理平衡统计性质的重要工具。然而,对于含有锥形交叉的多电子态(多态)分子体系,基于 Born-Oppenheimer 近似的常规路径积分分子动力学并不会自动包含几何相位,因此在低温区可能对热容等热力学量给出不正确描述。为解决这一问题,刘剑课题组采用了此前该课题组在 J. Chem. Phys. 2018, 148, 102319 中建立的多态路径积分(MES-PI) 及其路径积分分子动力学方法 (MES-PIMD),并指出:在绝热表象下,几何相位事实上自然地编码在相邻虚时间切片之间电子态重叠矩阵乘积的电子迹之中。也就是说,标准 MES-PI 本身并不需要额外人为补入几何相位就能严格刻画热力学性质。
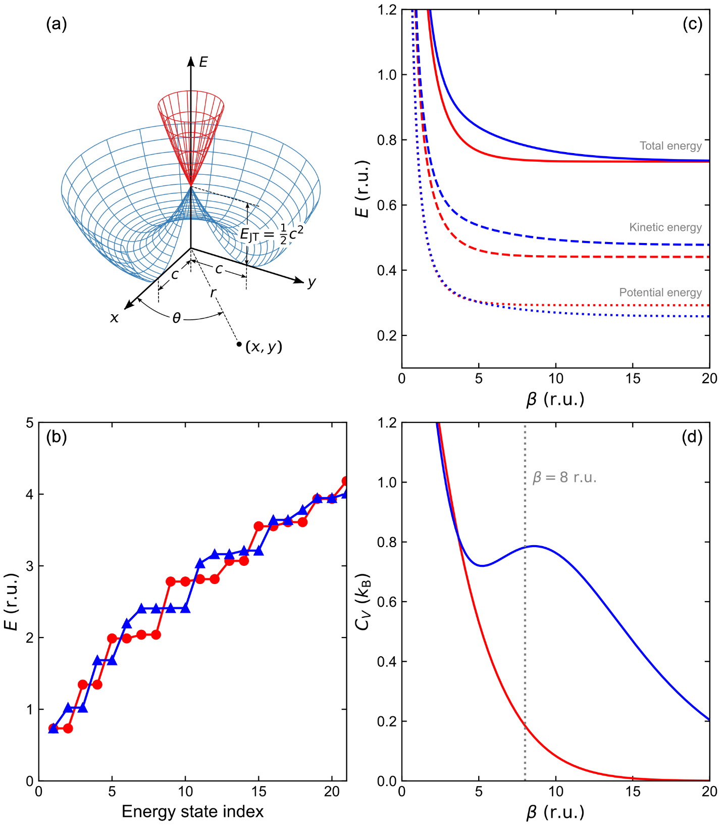
为展示这一问题的物理图像,本文采用经典的 Jahn-Teller E ⊗ e 模型作为原型体系。该模型具有典型的“墨西哥帽”势能面结构(图1a),是研究锥形交叉、Berry 相位和非绝热耦合效应的标准模型。通过直接求解含 GP 与不含 GP 的哈密顿量,作者建立了严格基准,并表明几何相位会显著改变低能能级结构(图1b)及低温热力学性质(图1c、d)。
图1. Jahn-Teller E ⊗ e 模型的绝热势能面及其本征能级与热力学性质。图中比较了包含几何相位与人工去除几何相位两种情形下的能级结构和随温度变化的热力学性质。图片来自Zhai, Shang, and Liu, J. Phys. Chem. Lett. 2026. doi:10.1021/acs.jpclett.6c00429
为了进一步分离几何相位的拓扑贡献,作者引入了几何特征矩阵(geometric signature matrix)与绕行数诱导相因子(winding-number-induced phase factor),构造出一个人工的去除GP的 MES-PI 方案(图2b)。该方案并不是针对真实体系的常规模拟方法,而是一个用于理论对照的基线:通过将标准(正确包含了GP的) MES-PI (图2a)与这一人工去除 GP 的路径积分方案进行比较,可以直接量化几何相位对动能、势能和热容等热力学量的贡献。同时,作者还指出,在标准 MES-PI 中,几何相位由相邻虚时间切片之间的电子重叠矩阵自然保留,因此对于真实复杂体系,并不需要预先知道锥形交叉的位置和拓扑特征才能正确描述这一拓扑效应。
图2. 绝热表象下标准 MES-PI 与人工去除GP的 MES-PI 的示意图。图(a)为保留完整重叠矩阵的 MES-PI;图(b)为引入绕行数相因子的人工去除GP的 MES-PI。图片来自Zhai, Shang, and Liu, J. Phys. Chem. Lett. 2026. doi:10.1021/acs.jpclett.6c00429
同时,作者还分析了虚时间环聚合物路径相对于锥形交叉的绕行行为。在低温模拟中,绕行数的概率分布随着绕行数增加而指数降低(图3a),但奇数绕行依然占有相当比例(接近35%,见图3b),这表明几何相位对热平衡统计量会产生实质性影响。
图3. Jahn-Teller 模型在 beta = 8 r.u.、128 beads 条件下的环聚合物绕行数分布及代表性路径构型。图(a)和(b)分别给出绕行数的统计分布,图(c)展示 W = 0, 1, 2 时的代表性路径。图片来自Zhai, Shang, and Liu, J. Phys. Chem. Lett. 2026. doi:10.1021/acs.jpclett.6c00429
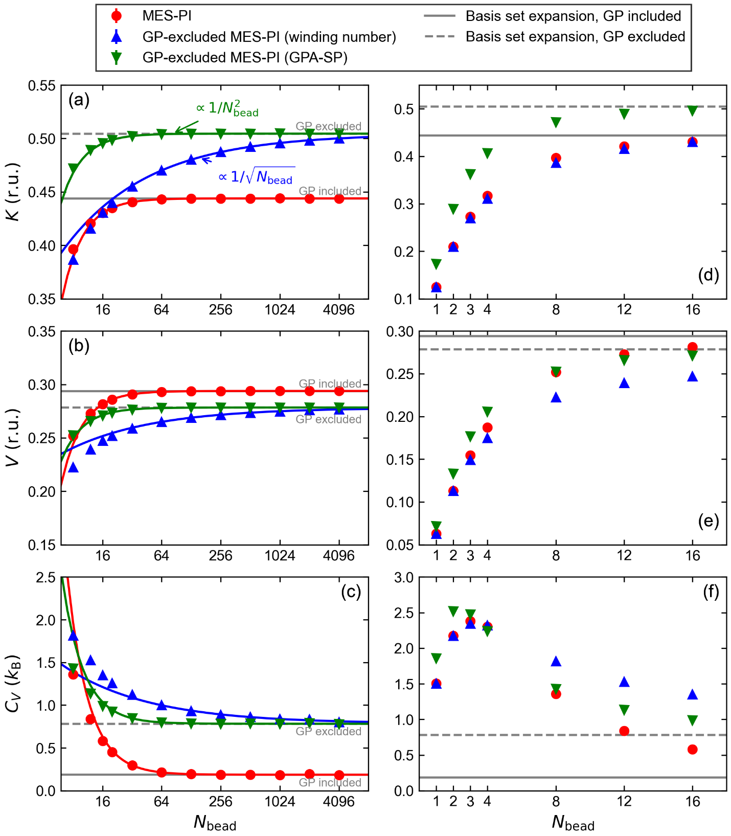
随后,作者采用 MES-PIMD 系统计算了该模型体系的动能(图4a)、势能(图4b)和热容(图4c)等热力学量。结果表明,标准 MES-PIMD 在珠子数充分大时收敛到正确的包含了GP的基准,而人工去除了GP的 MES-PIMD 则收敛到相应的不包含GP的基准。这说明 MES-PIMD 确实能够正确保留几何相位的热力学效应。另一方面,作者还发现,若直接利用绕行数相因子“暴力”去除几何相位,则路径积分的数值收敛会显著变慢。作者将这一异常收敛归因于去除几何相位后在锥形交叉点附近振电波函数形成的 cusp 型奇异结构。为改善这一问题,本文进一步提出 GPA-SP 算法,将相关拓扑处理吸收到弹簧势中,从而恢复高效的数值收敛。
图4. Jahn-Teller 模型在 c = 1 r.u.、beta = 8 r.u. 条件下的 MES-PIMD 结果。图中比较了包含GP、人工去除GP以及采用 GPA-SP 改进算法时的动能、势能和热容收敛行为。图片来自Zhai, Shang, and Liu, J. Phys. Chem. Lett. 2026. doi:10.1021/acs.jpclett.6c00429
图4表明,标准 MES-PIMD 可以正确再现包含几何相位的热力学基准,而人工去除几何相位的方案则会出现显著变慢的数值收敛;同时也说明,在珠子数不足时,对几何相位效应的判断可能出现定性误差,尤其是在热容这样敏感的观测量上。
除完整的多(电子)态框架外,本文还系统考察了单(电子)态极限下的情况。作者将完整 MES 结果与 玻恩-奥本海默近似(BO)/玻恩-黄绝热近似(BHA)在不同参数区间下的适用性进行了比较(图5)。结果表明:对于较小能隙情形,BO 和 BHA 与完整 MES 结果差异显著;而对于较大能隙情形,BHA 在低温下与完整 MES 数据符合很好。这说明单电子态极限是否有效,取决于基态与激发态绝热势能面之间的能隙大小以及体系所处的温度区间。

图5. (动图)不同近似下,不同参数c的Jahn-Teller模型热容随温度变化。图片来自Zhai, Shang, and Liu, J. Phys. Chem. Lett. 2026. doi:10.1021/acs.jpclett.6c00429 (Supporting Information)
在此基础上,本文进一步比较了单电子态极限下不同虚时间路径积分方案的结构和数值性质。文中考虑了三种单电子态虚时间路径积分方案,包括玻恩-奥本海默路径积分(BO-PI)、玻恩-黄绝热路径积分(BHA-PI) 和 单电子态重叠路径积分(SES-overlap-PI)(图6)。SES-overlap-PI 继承了 MES-PI 中基于电子重叠的表述,因此能够自然保留几何相位;而 BO-PI 和 BHA-PI 则需要借助绕行数相因子才能恢复这一拓扑信息(图7、图8)。相关数值结果还表明,不同单电子态路径积分方案在热力学量及其数值收敛性质上具有明确差别。
图6. 单电子态极限下三种虚时间路径积分方案的示意图,分别为:BO-PI、通过引入绕行数相因子包含GP的BO-PI/BHA-PI 以及 SES-overlap-PI。图片来自Zhai, Shang, and Liu, J. Phys. Chem. Lett. 2026. doi:10.1021/acs.jpclett.6c00429
图7. Jahn-Teller 模型在单电子态极限下的 BO-PIMD 与 BHA-PIMD 结果,包括动能、势能和热容的数值比较。图片来自Zhai, Shang, and Liu, J. Phys. Chem. Lett. 2026. doi:10.1021/acs.jpclett.6c00429
图8. SES-overlap-PIMD 的结果,表明该方案在极限下能够再现包含GP的BHA哈密顿量的基准结果。图片来自Zhai, Shang, and Liu, J. Phys. Chem. Lett. 2026. doi:10.1021/acs.jpclett.6c00429
最后,作者将讨论推广到一般分子体系。实际电子结构计算通常只能保留有限个低能绝热电子态,因此不可避免地涉及电子空间截断。作者指出,只要被舍弃态与保留态之间存在足够大的代表性能隙,并且体系处于相对低温区域,则 MES-PI 在截断电子子空间中仍可对热力学性质给出可靠描述。这使本文提出的虚时间拓扑统计框架具备了面向真实复杂分子体系应用的可能性。
综上,本文系统表明,几何相位不仅是锥形交叉附近动力学和光谱中的重要拓扑效应,也会显著影响低温热力学性质。作者证明,虚时间多(电子)态路径积分 MES-PI 及其分子动力学实现 MES-PIMD,能够通过相邻虚时间切片之间统计加权重叠矩阵乘积的电子迹,自然且严格地捕捉几何相位效应。与此同时,人工去除GP路径积分方案的构造,也为定量分离拓扑贡献提供了清晰的理论参照。该工作突破了几何相位研究长期局限于动力学与光谱领域的范式,将其系统性地引入热力学与统计力学框架之中,为描述真实复杂非绝热体系的热力学性质提供了新的实用理论工具,并为后续实时非绝热动力学模拟构建了严格一致的热平衡初始条件。
北京大学化学与分子工程学院刘剑教授为通讯作者,北京大学化学与分子工程学院博雅博士后翟羽、博士研究生尚游皓为共同第一作者。该工作得到了国家杰出青年科学基金项目(项目号:22225304)和精准智能化学重点实验室自主部署项目(KY2490000300)的资助。计算资源由北京大学高性能计算平台、北京并行科技有限公司、广州超级计算中心提供,感谢崂山实验室(LSKJ202300305)对新神威超级计算平台的技术支持。
论文信息:
“Geometric Phase Effect in Thermodynamic Properties and in the Imaginary-Time Multi-Electronic-State Path Integral Formulation”
Yu Zhai†, Youhao Shang†, Jian Liu*
The Journal of Physical Chemistry Letters 2026,
https://doi.org/10.1021/acs.jpclett.6c00429
排版:高杨
审核:牛林,刘志博