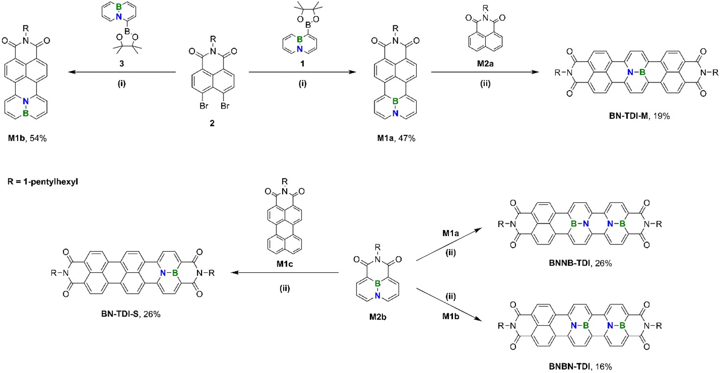
Terrylene diimides (TDI) 是一种广泛应用于癌症诊疗、太阳能电池和单分子光谱等领域的重要有机染料。传统的TDI结构修饰策略主要集中在改变烷基侧链以调控堆积方式,或在共轭骨架上衍生不同取代基,而对分子稠环骨架本身的改造却很少见。B-N单元嵌入的多环芳烃(PAHs) 因其独特的光电性能和固态相互作用而备受关注。B-N单元的引入不仅可以提高共轭骨架的氧化稳定性,还可以通过BN偶极相互作用构建独特的超分子结构。因此,将B-N单元嵌入TDI分子对于TDI分子的改性和硼氮杂多环芳烃的性能研究来说都具有重要意义。近日,北京大学的裴坚-王婕妤团队从硼氮萘出发实现了一系列嵌入B-N单元的TDI分子(BN-TDIs) 的模块化合成。

图1. BN-TDIs的合成路线
通过控制B-N单元的数量和排列方向,能够有效调控这些分子的偶极矩和光电性质。B-N单元的引入不仅改变了分子的对称性,还增强了分子间的静电相互作用。通过研究BN-TDIs的单晶结构可以发现其在固态下相较于传统TDI表现出更短的羰基-π 距离,其中BNBN-TDI的羰基-π 距离可缩短至3.19 Å,而TDI的羰基-π 距离则为3.28 Å。更短的羰基-π 距离意味着更强的分子间羰基-π 作用力,这为构建新颖的超分子结构提供了可能。对分子静电势的研究发现,B-N单元中的N原子由于孤对电子填充到了B原子的空轨道上而显正电,同时羰基的氧原子由于强电负性而显负电。因此,羰基与含有B-N单元的萘片段会有更强的静电相互作用,这也解释了BN-TDIs为何具有更短的碳基-π 距离。当分子内的B-N单元朝向一致时,其荧光光谱拓展到了近红外区(> 900 nm),这使得其在生物成像等领域具有潜在的应用价值。此系列BN-TDIs在有机薄膜场效应晶体管中表现出优异的电子传输性能,其中BN-TDI-S的平均电子迁移率(0.03 cm2 v−1 s−1) 甚至超过了经典的TDI分子(0.017 cm2 v−1 s−1)。

图2. BN-TDIs的静电势分布、单晶结构以及吸收和发射光谱。
这项研究通过高效的模块化方法首次实现了杂原子嵌入的TDI分子的构筑,并通过B-N单元的嵌入改造成功调控了TDI分子的光电性质。BN-TDIs不仅具有独特的光学性质,还在晶体管器件中表现出更优异的电子传输特性,为未来的光电应用提供了新的材料体系。
该工作近日发表于Angewandte Chemie International Edition,北京大学化学与分子工程学院已出站博士后赵科翔为第一作者,裴坚教授与王婕妤副教授为通讯作者,该研究得到了国家自然科学基金委、北京市自然科学基金委、北京分子科学国家研究中心的资助。
论文链接:https://onlinelibrary.wiley.com/doi/10.1002/anie.202503571