In quantum mechanics, when the time scale of nuclei and that of electrons are well separated and nuclear dynamics only involves only one electronic state during the whole process, it is called an electronically adiabatic process, i.e., the Born-Oppenheimer approximation is valid. When two or more electronic states are degenerate or quasi-degenerate, the (vibrational and rotational) motion of nuclei is coupled with that of electrons, resulting in population exchange between different electronic states. This is called an electronically nonadiabatic process. Nonadiabatic processes widely exist in chemical, biological, environmental and materials systems, such as photochemical reactions, photoelectric conversion processes, micro-cavity modified chemistry, and UV damage/repair processes of DNA. It is a challenging problem in modern physical chemistry to develop practical nonadiabatic dynamics methods for atomic-scale simulations of real molecular systems in condensed phase.

Fig. 1 Some applications of phase space mapping approaches of nonadiabatic dynamics in the Jian Liu research group
Since there exists a problem of "the curse of dimensionality" in nonadiabatic quantum dynamics, trajectory-based approximate methods are often proposed to treat nonadiabatic processes, which may capture major features while taking a linear scaling of computation effort as the system size increases. Two prevailing trajectory-based methods, Ehrenfest dynamics and surface hopping dynamics, however, are not satisfying in their applications to many condensed phase systems. This is partly because such methods are lack of rigorous theoretical foundation. The Jian Liu research group at Peking University (http://jianliugroup.pku.edu.cn/index.html) have developed a unified framework for mapping both discrete electronic degrees of freedom (DOFs) and continuous nuclear DOFs onto phase space. The phase space formulation of quantum mechanics then provides a solid basis for developing trajectory-based approaches for nonadiabatic dynamics. The phase space mapping theory constructs an isomorphism between the quasi-particles in phase space and the quantum object of the real nonadiabatic process. Like a "shadow play", the virtual "image” of the quasi-particles reflects the realistic nonadiabatic process.
In 2016, the Liu group proposed a unified mapping framework of coupled multi-electronic state mapping Hamiltonians (Journal of Chemical Physics, 2016, 145, 204105, http://dx.doi.org/10.1063/1.4967815). In this work, after a mapping framework between the creation/annihilation operators in Fock space and the Pauli matrix is established, a series of mapping Hamiltonian models including the conventional Meyer-Miller mapping Hamiltonian are naturally derived. In 2017, the Liu group further demonstrated that there exists an isomorphism between the mapping phase space approach for nonadiabatic systems and that for the second-quantized many-electron Hamiltonian with only 1-electron interactions (Journal of Chemical Physics, 2017, 146, 024110, http://dx.doi.org/10.1063/1.4973708).
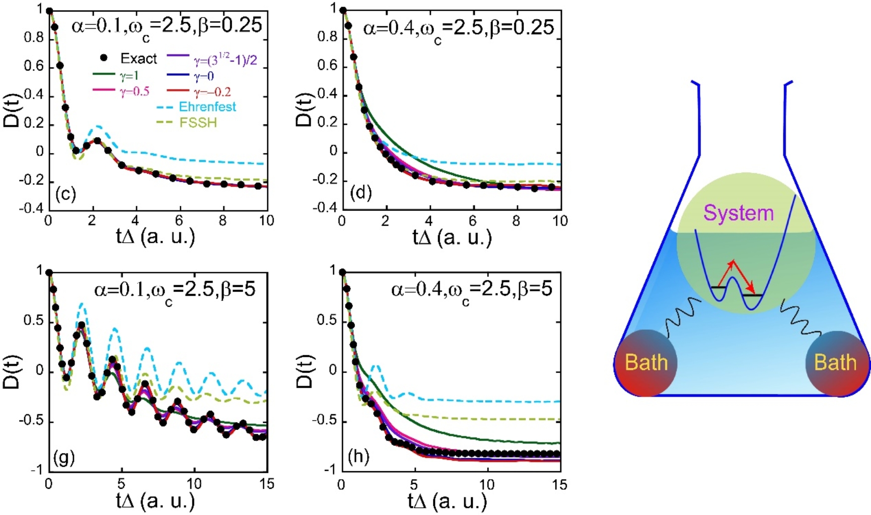
In 2019, the Liu group suggested that a constraint condition from unit 1 of the mapping phase space in the kinetic energy term should be used for developing new phase space nonadiabatic dynamic methods, which are called classical mapping model (CMM) (Journal of Chemical Physics, 2019, 151, 024105, https://doi.org/10.1063/1.5108736). CMM formulated the mapping onto constrained phase space (high-dimensional constrained sphere) for the first time, and demonstrated better performance than Ehrenfest dynamics or surface hopping dynamics for studying condensed phase systems. In 2021, the Liu group constructed a general formulation of phase space mapping theory for nonadiabatic processes (Journal of Physical Chemistry Letter, 2021, 12, 2496−2501, https://pubs.acs.org/doi/full/10.1021/acs.jpclett.1c00232). The formulation involves mathematical transformation kernels for mapping a finite number of discrete electronic states onto constraint phase space as well as for mapping continuous nuclear DOFs onto phase space without boundary. Liu and coworkers revealed that parameter γ in the exact phase space mapping kernel for a finite number of discrete electronic states can be selected in (-1/F, ∞). Because γ can be negative, such a parameter should not be regarded as the zero-point energy parameter in the long-standing viewpoint for more than 40 years. Numerical results show that the negative value of γ yields more reasonable approximation in low temperature, high frequency and strong coupling regions of the spin-boson model.

Fig. 2 Numerical results of population transfer of spin-boson models
The Liu group further showed that the commutation relation between the coordinate and momentum operators of the quasi-particle of the phase space mapping model does not necessarily satisfy the traditional Heisenberg uncertainty principle (i.e., Born canonical commutation relationship)—there exists a more general commutator matrix, based on with a comprehensive form of the mapping Hamiltonian can be established (Journal of Physical Chemistry A, 2021, 125, 6845−6863, https://doi.org/10.1021/acs.jpca.1c04429). When the constraint of commutator matrix variables is employed for satisfying the Born-Oppenheimer limit, the corresponding eCMMcv method successfully describes the nonadiabatic processes in condensed phase systems, including dissipative light-harvesting protein complex systems and atom-in-optical-cavity models.

Fig. 3 Results of a protein complex condensed phase dissipation system and of atom-in-optical cavity models.
All the progress on new phase space mapping theory of nonadiabatic dynamics was recently reviewed and published in an invited contribution to Accounts of Chemical Research (titled “Unified Formulation of Phase Space Mapping Approaches for Nonadiabatic Quantum Dynamics”,